martedì 1 febbraio 2022

La datazione assoluta delle rocce

 



Sebbene le età relative degli strati rocciosi possano essere generalmente stabilite su scala locale sulla base dei criteri paleontologici e stratigrafici, gli eventi registrati in rocce di luoghi diversi possono essere integrati in un'immagine di scala regionale o globale solo se la loro sequenza temporale è saldamente stabilita. Il tempo trascorso dalla formazione di alcuni minerali può essere determinato a causa della presenza di una piccola quantità di atomi radioattivi naturali nelle loro strutture. Mentre gli studi sulla datazione dei fossili sono iniziati quasi 300 anni fa, la radioattività è stata scoperta solo nel 1896 dal Henri Becquerel, è stata studiata intensamente nei primi decenni del secolo, ma è stato solo dal 1950 circa che i metodi per datare i materiali geologici sono diventati comuni. I metodi di misurazione isotopica continuano ad essere perfezionati e la datazione assoluta è diventata una componente essenziale di praticamente tutte le indagini geologiche.

Diversi processi della Terra creano rocce diverse come parte di quello che può essere considerato il ciclo litogenetico di formazione e trasformazione delle rocce. L'attenzione è rivolta, ove possibile, su quelle rocce che contengono minerali adatti a precise datazioni isotopiche. È importante ricordare che le età precise non possono essere ottenute per una qualsiasi unità rocciosa, ma che qualsiasi unità può essere datata rispetto a un'unità databile.


La datazione radiometrica è l'unica tecnica in grado di fornire età assolute delle rocce attraverso la documentazione stratigrafica, ma è limitata nell'applicazione dai tipi di rocce che possono essere datate. L'età di formazione dei minerali è determinata da questo metodo; quindi, se i grani di feldspato di potassio in un'arenaria sono datati radiometricamente, la data ottenuta è quella del granito da cui sono stati erosi. Non è quindi possibile datare la formazione di rocce costituite da granuli detritici e ciò esclude la maggior parte delle arenarie, delle argille e dei conglomerati. I calcari sono formati in gran parte da resti di organismi con parti dure di carbonato di calcio, e i minerali aragonite e calcite non possono essere datati radiometricamente su una scala temporale geologica. Quindi quasi tutte le rocce sedimentarie sono escluse da questo metodo di datazione e correlazione. 

La formazione di rocce ignee di solito può essere datata con successo a condizione che non siano state gravemente alterate o metamorfosate. I corpi intrusivi e i prodotti dell'attività vulcanica (lave e tufi) possono essere datati e queste date sono utilizzate per vincolare l'età delle rocce circostanti alle leggi delle correlazioni stratigrafiche. I dati delle rocce metamorfiche possono fornire l'età del metamorfismo, sebbene possano sorgere complicazioni se il grado di metamorfismo non è stato sufficientemente alto da ripristinare l'"orologio" radiometrico o se ci sono state più fasi di metamorfismo. 

Le relazioni stratigrafiche generali e le età isotopiche sono i principali mezzi per correlare i corpi ignei intrusivi. È possibile dimostrare che unità di roccia ignea geograficamente separate fanno parte della stessa serie o complesso igneo determinando le età isotopiche delle rocce in ciascuna località. La datazione radiometrica può anche essere molto utile per dimostrare la corrispondenza tra corpi ignei effusivi. I principali inconvenienti di correlazione con questo metodo sono la gamma limitata di litologie databili e problemi di precisione dei risultati, in particolare con rocce più antiche. Ad esempio, se si sono formati due letti di lava distanti solo un milione di anni e c'è un margine di errore nei metodi di datazione di un milione di anni, la correlazione di un letto di lava simile all'uno o all'altro non può essere certa. 

Tutte le età assolute si basano sul decadimento radioattivo, un processo mediante il quale gli isotopi di determinati atomi (“genitori”) sono instabili ed emettono energia (raggi β o γ) e/o particelle α (nuclei di elio: due protoni e due neutroni), trasformandosi in altri isotopi (”figli”) a una velocità costante e nota. Il decadimento radioattivo di un isotopo genitore può portare alla produzione di un altro isotopo instabile, e così via, fino a che si produce un isotopo stabile e non si riscontra più alcuna attività radioattiva. Ad esempio, la catena di decadimento dell’uranio-238 e dei suoi figli porta alla fine all’isotopo stabile piombo-206. Ogni anello della catena segna un calo del numero di massa. Poiché gli isotopi differiscono in massa, la loro abbondanza relativa può essere determinata se le masse sono separate in uno spettrometro di massa che consente l'identificazione di atomi figli formati dal processo di decadimento in un campione contenente atomi progenitori radioattivi. 


Le particelle emesse durante il processo di decadimento rivelano un profondo cambiamento nel nucleo. Per compensare la perdita di massa (ed energia), l'atomo radioattivo subisce una trasformazione interna e nella maggior parte dei casi diventa semplicemente un atomo di un diverso elemento chimico. In termini di numero di atomi presenti, è come se le mele si trasformassero spontaneamente in arance a un ritmo fisso e noto. In questa analogia, le mele rappresenterebbero atomi radioattivi, o genitori, mentre le arance rappresenterebbero gli atomi formati, i cosiddetti figli. Proseguendo ulteriormente con questa analogia, ci si aspetterebbe che un cesto nuovo di mele non contenga arance ma che uno più vecchio ne abbia molte. In effetti, ci si aspetta che il rapporto tra arance e mele cambi in modo molto specifico nel tempo trascorso, poiché il processo continua fino a quando tutte le mele non vengono convertite. In geocronologia la situazione è identica. Una particolare roccia o minerale che contiene un isotopo radioattivo (o radioisotopo) viene analizzata per determinare il numero di isotopi genitori e figli presenti, per cui viene calcolato il tempo trascorso dalla formazione di quel minerale o roccia. Naturalmente, è necessario selezionare materiali geologici che contengano elementi con lunghi tempi di trasformazione, cioè quelli per i quali rimangono alcuni atomi progenitori. 

Fortunatamente per la geocronologia, lo studio della radioattività è stato oggetto di approfondite ricerche teoriche e di laboratorio da parte dei fisici per quasi un secolo. I risultati mostrano che non esiste un processo noto che possa alterare il tasso di decadimento radioattivo. Come spiegazione si può dire che, poiché la causa del processo risiede in profondità all'interno del nucleo atomico, le forze esterne come il calore e la pressione estremi non hanno alcun effetto. Lo stesso vale per i campi gravitazionali, magnetici ed elettrici, nonché per lo stato chimico in cui si trova l'atomo. In breve, il processo di decadimento radioattivo è immutabile in tutte le condizioni conosciute. 

In base ai principi della meccanica quantistica, il decadimento spontaneo di un nucleo è un avvenimento puramente casuale. Tuttavia, se è vero che risulta impossibile determinare l'istante in cui il nucleo di un atomo si disintegrerà, è pur sempre possibile predire la probabilità che ha un certo numero di nuclei di disintegrarsi in un certo intervallo di tempo, esattamente come non si può predire quando un certo individuo morirà, ma si può stabilire la probabilità che egli, con i suoi coetanei, ha di vivere fino ad una certa età. 

Dato un numero sufficientemente grande di atomi, la velocità del loro decadimento risulta essere costante. Il riconoscimento che il tasso di decadimento di qualsiasi atomo genitore radioattivo R è proporzionale al numero di atomi (N) del genitore rimanenti in qualsiasi momento dà origine alla seguente espressione: 


La conversione di questa proporzione in un'equazione tiene conto dell'osservazione aggiuntiva che radioisotopi diversi hanno tassi di disintegrazione diversi anche quando si osserva lo stesso numero di atomi in decadimento. In altre parole, ogni radioisotopo ha la sua costante di decadimento, abbreviata λ (dimensionalmente è una frequenza, quindi t-1), che fornisce una misura della sua rapidità intrinseca di decadimento. La proporzione (1) diventa: 


Detto a parole, questa equazione dice che la velocità con cui un certo radioisotopo si disintegra non dipende solo da quanti atomi dell'isotopo sono presenti, ma anche da una proprietà intrinseca dell’'isotopo, rappresentata da λ, cioè la costante di decadimento. 

Nel calcolo, il tasso di decadimento R dell'equazione (2) può essere scritto come la derivata dN/dt, in cui dN rappresenta il piccolo numero di atomi che decadono in un intervallo di tempo infinitamente breve dt. Sostituendo R con il suo equivalente dN/dt si ottiene l'equazione differenziale: 


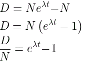
La soluzione di questa equazione fornisce una forma dell'equazione fondamentale per la determinazione dell'età radiometrica, 


dove N0 è il numero di atomi radioattivi presenti in un campione al tempo zero, N è il numero di atomi radioattivi presenti oggi nel campione, e è la base dei logaritmi naturali, λ è la costante di decadimento del radioisotopo considerato e t è il tempo trascorso dal tempo zero. Questa legge dice che il numero di nuclei non ancora disintegratisi decresce esponenzialmente nel tempo. L'andamento di tale curva è il seguente:


In genere vengono apportate due modifiche all'equazione (4) per ottenere la forma più utile per la datazione radiometrica. In primo luogo, poiché il termine sconosciuto nella datazione radiometrica è ovviamente t, è desiderabile riordinare l'equazione (4) in modo che sia risolta esplicitamente per t. In secondo luogo, il modo più comune per esprimere il tasso di decadimento intrinseco di un radioisotopo è attraverso la sua emivita o tempo di dimezzamento (t1/2), piuttosto che attraverso la costante di decadimento λ


L'emivita, o tempo di dimezzamento, è definita in termini di probabilità: essa è il tempo necessario affinché esattamente la metà del numero iniziale di atomi radioattivi in media decada. In altre parole, la probabilità che un atomo radioattivo decada entro la sua emivita è del 50%. Si noti che dopo un'emivita non rimane esattamente la metà degli atomi, solo approssimativamente, a causa della variazione casuale nel processo. Tuttavia, quando ci sono molti atomi identici in decadimento, la legge dei grandi numeri suggerisce che è un'ottima approssimazione dire che metà degli atomi rimangono dopo un'emivita. I tempi di dimezzamento sono stati determinati in laboratorio per migliaia di radioisotopi (o radionuclidi). Questi variano da minime frazioni di secondo (decadimenti pressoché istantanei) fino a 1019 anni o più. 


L'emivita t1/2 e la costante di decadimento λ sono inversamente proporzionali perché i radioisotopi in rapido decadimento hanno un'elevata costante di decadimento ma una breve emivita. Con t esplicitato e l'emivita introdotta, l'equazione (4) viene convertita nella forma seguente, in cui i simboli hanno lo stesso significato: 


In alternativa, poiché si osserva direttamente il numero di atomi figli anziché N, che è il numero iniziale di atomi progenitori presenti, un'altra formulazione può essere più conveniente. Poiché il numero iniziale di atomi genitori presenti al tempo zero N0 deve essere la somma degli atomi genitori rimanenti N e degli atomi figli presenti D, si può scrivere: 


Dalla equazione (4) sopra, segue che N0 = N(eλt). Sostituendo questo valore nell'equazione (6) si ottiene: 


Se si sceglie di usare P per designare l'atomo genitore, l'espressione assume la sua forma familiare: 




Questa coppia di equazioni afferma rigorosamente ciò che si potrebbe presumere dall'intuizione, cioè che i minerali formati in tempi successivamente più lunghi in passato avrebbero rapporti figlio-genitore progressivamente più alti. Ciò segue perché, poiché ogni atomo genitore perde la sua identità con il tempo, riappare come un atomo figlio. L'aumento di D/P con il tempo è evidente nell'equazione (7) perché valori di tempo maggiori aumenteranno il valore di eλt, dove λ è costante. L'equazione (8) documenta la semplicità concettuale della datazione isotopica diretta. Il tempo di decadimento è proporzionale al logaritmo naturale (rappresentato da ln) del rapporto tra D e P. In breve, basta misurare il rapporto tra il numero di atomi radioattivi genitore e figlio presenti e può essere calcolato il tempo trascorso dalla formazione del minerale o della roccia, a condizione ovviamente che sia noto il tasso di decadimento. Allo stesso modo, le condizioni che devono essere soddisfatte per rendere il calcolo dell'età preciso e significativo sono di per sé semplici: 

1. La roccia o il minerale intesi come sistema devono essere rimasti chiusi rispetto all'aggiunta o alla fuga di atomi genitori e figli dal momento in cui si è formata la roccia o il minerale. Ad esempio, il campione da esaminare deve essere sempre al di sotto della cosiddetta temperatura di blocco, specifica per ogni materiale e che può essere trovata sperimentalmente. Al di sotto di questa temperatura il sistema si può considerare isolato. 

2. Deve essere possibile tenere conto di altri atomi identici agli atomi figli già presenti al momento della formazione della roccia o del minerale; 

3. La costante di decadimento deve essere nota; 

4. La misurazione del rapporto figlio-genitore deve essere accurata, perché l'incertezza in questo rapporto contribuisce direttamente all'incertezza nell'età. 

Il processo di formazione di un materiale specifico determina il modo in cui un elemento è incorporato durante la formazione. Nel caso ideale, il materiale incorpora un isotopo genitore e rilascia un isotopo figlio; solo l'isotopo figlio trovato esaminando un campione di materiale deve dunque essersi formato da quando esiste il campione. 

Quando un materiale incorpora sia i radionuclidi genitori sia i figli nel momento della sua formazione, bisogna assumere che l'iniziale rapporto tra una sostanza radioattiva e i suoi prodotti di decadimento sia conosciuto. Per essere trovati, questi prodotti devono possedere una vita media abbastanza lunga per essere rilevati in sufficienti quantità. Inoltre, non devono intervenire ulteriori processi che possono modificare il rapporto tra nuclidi iniziali e elementi prodotti dal decadimento. Le procedure atte a isolare ed analizzare i prodotti della reazione devono dunque essere semplici ma attendibili. 

I campioni di roccia raccolti per la datazione radiometrica sono generalmente abbastanza grandi (diversi chilogrammi), per eliminare le disomogeneità nella roccia. I campioni vengono frantumati in granuli delle dimensioni della sabbia, mescolati accuratamente per omogeneizzare il materiale, poi si seleziona un campione più piccolo. Nei casi in cui si debbano datare particolari minerali, questi vengono separati dagli altri minerali utilizzando liquidi pesanti (liquidi con densità simile a quella dei minerali) in cui alcuni minerali galleggiano e altri affondano, o la separazione magnetica, sfruttando le diverse proprietà magnetiche dei minerali. Il concentrato minerale può quindi essere sciolto per l'analisi isotopica. La misurazione delle concentrazioni di diversi isotopi viene effettuata con gli spettrometri di massa. In questi strumenti una piccola quantità (microgrammi) del campione viene riscaldata nel vuoto per ionizzare gli isotopi e queste particelle cariche vengono quindi accelerate lungo un tubo a vuoto da una differenza di potenziale. A metà del tubo un campo magnetico indotto da un elettromagnete devia le particelle cariche. La quantità di deflessione dipenderà dalla massa atomica delle particelle; quindi, diversi isotopi sono separati dalle loro diverse masse. I rivelatori all'estremità del tubo registrano il numero di particelle cariche di una particolare massa atomica e forniscono un rapporto degli isotopi presenti nel campione. 


Benché la datazione radiometrica sia accurata per principio, la sua precisione dipende dalla cura con cui il procedimento si svolge: bisogna considerare i possibili errori dovuti alla contaminazione degli isotopi genitori e figli nel momento in cui il campione da analizzare si è formato; inoltre, utilizzando uno spettrometro di massa per le misure, si può andare incontro ad interferenze da parte di altri nuclidi con stesso numero di massa degli isotopi. In questo caso si devono apportare delle correzioni alle misure considerando i rapporti con cui si presentano questi nuclidi rispetto agli isotopi cercati. 

Le misure ottenute attraverso gli spettrometri di massa possono andare incontro a interferenze e a inaccuratezze. L'affidabilità aumenta se le misurazioni sono prese da differenti campioni dello stesso materiale; in alternativa, se differenti minerali dello stesso campione possono essere datati e si assume che si siano formati nella stessa occasione, essi costituiscono una datazione isocrona del campione: a differenza delle più semplici tecniche di datazione radiometrica, la datazione isocrona non richiede la conoscenza delle proporzioni iniziali dei nuclidi. 

Infine, per confermare l'età di un campione si potrebbero richiedere differenti metodi di datazioni radiometriche. La precisione di un metodo di datazione dipende comunque dal tempo di dimezzamento dell'isotopo radioattivo utilizzato per la misura. 

Sono stati sviluppati diversi protocolli per affrontare le ipotesi critiche indicate. Nella datazione con l’uranio-piombo, è possibile isolare minerali praticamente privi di piombo iniziale e apportare correzioni per le quantità insignificanti presenti. Nei metodi che utilizzano gli schemi di decadimento del rubidio-stronzio o del samario-neodimio, vengono scelte una serie di rocce o minerali che si presume abbiano la stessa età e percentuali identiche dei loro rapporti isotopici iniziali. I risultati vengono quindi testati per la coerenza interna che può convalidare le ipotesi. In ogni caso, è obbligo dello sperimentatore che effettua le determinazioni includere prove sufficienti per indicare che l'età assoluta ottenuta è valida entro i limiti indicati. In altre parole, è dovere dei geocronologi cercare di valutare il margine di errore includendo una serie di controlli incrociati nelle loro misurazioni prima di pubblicare un risultato. Tali controlli includono la datazione di una serie di unità antiche con età relative ravvicinate ma note e l'analisi replicata di parti diverse dello stesso corpo roccioso con campioni raccolti in località ampiamente distanziate. 

L'importanza dei controlli interni e del lavoro di squadra diventa tanto più evidente quando ci si rende conto che i laboratori di geocronologia sono in numero limitato. A causa delle costose attrezzature necessarie e della combinazione di competenze geologiche, chimiche e di laboratorio richieste, essa viene solitamente eseguita da squadre di esperti. La maggior parte dei geologi deve fare affidamento sui geocronologi per i loro risultati. A sua volta, il geocronologo si affida al geologo per l’indicazione delle età relative. 

I principali metodi radiometrici utilizzati per la datazione assoluta delle rocce sono i seguenti: 

Metodo uranio-piombo - Ideato da B. B. Boltwood nel 1907, quello dell'uranio-piombo è uno dei metodi di datazione più antichi e più utilizzati, efficace nel datare rocce che si sono formate e cristallizzate da un milione a oltre 4,5 miliardi di anni fa, con una precisione nell'ordine dello 0,1-1%. Benché possa essere usato per diversi materiali, questo metodo di datazione è solitamente utilizzato sul minerale zircone (ZrSiO4). Lo zircone incorpora gli atomi di uranio e di torio nella sua struttura cristallina, sostituendoli allo zirconio, respingendo invece quelli di piombo. Si può quindi ritenere che tutto il piombo riscontrato in un dato cristallo di zircone sia radiogenico, cioè sia stato interamente prodotto da un processo di decadimento radioattivo verificatosi dopo la formazione del minerale. In questo modo, si può utilizzare il rapporto tra piombo e uranio presente nel minerale per determinare l'età di quest'ultimo. Il fatto che lo zircone sia piuttosto inerte dal punto di vista chimico e che sia anche piuttosto resistente agli agenti atmosferici fa sì che intere zone, se non addirittura interi cristalli, di questo minerale possano sopravvivere all'eventuale erosione o distruzione della roccia di cui fanno parte mantenendo intatto il loro originario contenuto di uranio e piombo. Il metodo si basa su due diverse catene di decadimento, la serie dell'uranio dall' 238U al 2o6Pb, con un periodo di dimezzamento di circa 4,5 miliardi di anni, e la serie dell'attinio dall' 235U al 207Pb, con un periodo di dimezzamento di circa 710 milioni di anni. 

L'esistenza di due catene di decadimento uranio-piombo parallele fa sì che esistano anche diverse tecniche di datazione basate sul sistema U-Pb, tuttavia, con l'espressione "metodo di datazione uranio-piombo" ci si riferisce al metodo in cui si analizzano entrambi gli schemi di decadimento nella realizzazione del cosiddetto "diagramma di concordanza". Talvolta le età possono anche essere determinate dal sistema uranio-piombo attraverso la sola analisi dei rapporti tra isotopi di piombo, in quello che viene chiamato "metodo di datazione piombo-piombo". Quest'ultimo trova maggior utilizzo, rispetto al metodo all'uranio-piombo, in alcune situazioni particolari, come il calcolo dell'età di meteoriti o dell'età della Terra. Proprio una delle prime stime moderne sull'età del nostro pianeta (4,5 miliardi di anni) fu eseguita nel 1956 utilizzando il metodo di datazione piombo-piombo dal grande geochimico statunitense Clair Cameron Patterson (1922-1995), pioniere della tecnica di datazione uranio-piombo e alfiere della campagna per la riduzione del piombo nell’ambiente. 

Metodo Potassio-Argon - Questo è il sistema più utilizzato per la datazione radiometrica degli strati sedimentari, perché può essere utilizzato per datare la mica verde glauconite, ricca di potassio, e le rocce vulcaniche (lave e tufi) che contengono potassio in minerali come alcuni feldspati e miche. Uno degli isotopi del potassio, 40K, decade in parte per cattura di elettroni (un protone diventa un neutrone) in un isotopo dell'elemento gassoso argon, 40Ar, l'altro prodotto è un isotopo del calcio, 40Ca. L'emivita di questo decadimento è di 11,93 miliardi di anni. Il potassio è un elemento molto comune nella crosta terrestre e la sua concentrazione nelle rocce è facilmente misurabile. Tuttavia, la proporzione di potassio presente come 40K è molto piccola (0,012%) e la maggior parte di questo decade in 40Ca, con solo l'11% che forma 40Ar. L'argon è un gas raro inerte e gli isotopi di quantità molto piccole di argon possono essere misurati da uno spettrometro di massa espellendo il gas dai minerali. La datazione K-Ar è stata quindi ampiamente utilizzata nella datazione delle rocce, ma esiste un problema significativo, il fatto che l'isotopo figlio può fuoriuscire dalla roccia per diffusione perché è un gas. La quantità di argon misurata è quindi spesso inferiore alla quantità totale prodotta dal decadimento radioattivo del potassio. Ciò si traduce in una sottostima dell'età della roccia. 

Metodo Argon-Argon - I problemi della perdita di argon possono essere superati utilizzando il metodo argon-argon. Il primo passo in questa tecnica è l'irradiazione del campione mediante bombardamento di neutroni per formare 39Ar da 39K che si trovano nella roccia. Il rapporto tra 39K e 40Ar è una costante nota; quindi, se è possibile misurare la quantità di 39Ar prodotta dal 39K, ciò fornisce un metodo indiretto per calcolare gli isotopi 40K presenti nella roccia. La misurazione dei 39Ar prodotti dal bombardamento viene effettuata mediante spettrometro di massa mentre si misura la quantità di 40K presenti. Prima che un'età possa essere calcolata dalle proporzioni di 39Ar e 40Ar presenti, è necessario scoprire la proporzione di 39K che è stata convertita in 39Ar dal bombardamento di neutroni. Ciò può essere ottenuto bombardando un campione di età nota (uno "standard") insieme ai campioni da misurare e confrontando i risultati dell'analisi isotopica. Il principio del metodo Ar–Ar è quindi l'uso di 39Ar come proxy per 40K. Sebbene sia un metodo più difficile e costoso, Ar–Ar è ora preferito a K–Ar. Gli effetti dell'alterazione possono essere eliminati riscaldando a gradini il campione durante la determinazione delle quantità di 39Ar e 40Ar presenti mediante spettrometro di massa. L'alterazione (e quindi la perdita di 40Ar) si verifica a temperature inferiori rispetto alla cristallizzazione originale; quindi, i rapporti isotopici misurati a temperature diverse saranno diversi. Il campione viene riscaldato fino a quando non vi è alcuna variazione di rapporto con l'aumento della temperatura (si raggiunge un plateau): questo rapporto viene quindi utilizzato per calcolare l'età. Se non viene raggiunto alcun plateau e il rapporto cambia ad ogni passaggio di temperatura, allora il campione è troppo alterato per fornire una data affidabile. 

Metodo Rubidio-Stronzio - La datazione rubidio-stronzio è basata sul decadimento beta del Rubidio-87 in Stronzio-87, con un tempo di dimezzamento di 50 miliardi di anni; questo processo è usato per datare le rocce ignee e metamorfiche più antiche e persino i campioni di rocce lunari; la temperatura di blocco è molto elevata, tale da consentire di trascurarne gli effetti. La datazione Rubidio-Stronzio non è però precisa quanto quella Uranio-Piombo, dal momento che implica errori di 30-50 milioni di anni per un periodo di 3 miliardi di anni.

Metodo Uranio-Torio - Un'altra datazione radiometrica a corto raggio è quella basata sul decadimento α dell'Uranio-238 a Torio-234 (datazione uranio-torio), con un tempo di dimezzamento di circa 80.000 anni. Questo decadimento è spesso associato ad un altro decadimento "fratello", quello dell'Uranio-235 nel Protoattinio-231, con un periodo di dimezzamento di 34.300 anni. Mentre l'Uranio è solubile in acqua, il Torio e il Protoattinio non lo sono, per cui essi si separano se precipitano come sedimenti nei fondali oceanici dai quali si può ricavare l'abbondanza di questi isotopi; questo tipo di datazione ha una scala di molte centinaia di migliaia di anni.

Nessun commento:

Posta un commento